I år var det ovanligt trögt att åka Vasaloppet och när mjölksyran sätter in vill man ha en riktigt bra glidvalla. Något som gör att vattenmolekylerna inte suger fast under skidorna. Perfluorerade ämnen har länge varit en favorit. I en rapport från Nordiska ministerrådet redovisas analyser på bland annat glidvalla. Den analyserade produkten (Swix HF7 violett) innehöll exempelvis 157 mikrogram PFAS per kvadratmeter. ”I fädernas spår för framtids segrar” står det visserligen vid målgången i Mora och faktum är att den PFAS som hamnar i skidspåren mellan Sälen och Mora blir kvar i miljön för all framtid. Nyligen skrev ett antal kända miljöforskare i det nystartade nätverket (SWACS, Swedish Academic Consortium for Chemical Safety) en debattartikel och krävde att fluorvalla skulle förbjudas.
Men PFAS stannar inte i skidspåren. När snön smälter, så rinner kemikalierna ner i grundvattnet och förorenar dricksvattnet. Jag har nyligen fått tillgång till analysdata från ett stort antal vattentäkter i Sverige. I vissa områden har vi de senaste året upptäckt höga halter av PFAS i dricksvattnet nära olika flygplatser där man övat med brandskum. Ronneby, Tullinge, Uppsala, Visby… På mängder av platser har man tvingats stänga av dricksvattnet eller köpa in dyra kol-filter. Men nu visar data att även många orter där man betraktat vattnet som ”säkert” har så höga nivåer att delar av befolkningen sannolikt överstiger myndigheternas nya hälsobaserade riktvärden. Även det vatten jag och mina barn dricker har tydliga föroreningsnivåer. Mitt vattenverk ligger i Stockholm/Norsborg och där rapporterar de en blandning av flera olika PFAS med en totalhalt på 8 ng/liter. Det innebär ingen akut hälsorisk men visar tydligt att många olika produkter bidrar till att förorena vattnet kring mälaren. De orter där man har en lokal källa ligger ofta ännu högre. Lokalt i Gävle har man höga halter av PFOA. På andra platser som Arvidsjaur, Karlskrona och Västerås har man hittat halter på mellan 30 och 60 ng/liter. På dessa platser hittar man mycket PFHxS, vilket är typiskt för fluorerat brandskum.

Figuren visar summan av 11 olika PFAS (ng/liter) på olika platser där man inte kan peka ut en enskild källa. Inom parentes anges hur många invånare som dricker vattnet.
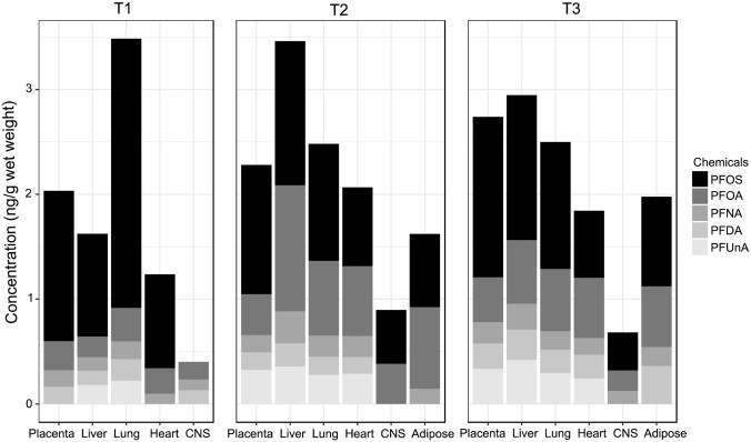
Från skidvalla till dricksvatten till… fosterhjärnor. För ett par veckor sedan presenterade en av mina närmaste kollegor från Karolinska Institutet (Dr Pauliina Damdimopoulou) nya data som visar att man hittar PFAS i vävnader hos foster, bland annat i levern, lungorna och hjärnan. Det vi miljöforskare länge misstänkt är därmed bevisat. PFAS tar sig lätt genom moderkakan in i fostret. Koncentrationen i hjärnan (CNS) ligger på 0,5 ng/g, vilket uppskattningsvis är cirka 50 gånger högre koncentration än i Stockholms dricksvatten (10 ng/liter = 0,01ng/g). Så fungerar nämligen PFAS, ämnet använder vatten som ett sätt att ta sig in i kroppen. Där koncentreras det sedan och stannar kvar i flera år.

Staplarna visar halterna av PFAS i olika vävnader under graviditeteten (T1/T2/T3 = första/andra/tredje trimestern). Figur från Mamsen et al., (2019).
Svaret på frågan: Den gemensamma nämnaren mellan skidvalla, dricksvatten och hjärnan är alltså PFAS.
/Mattias
PS. Vill du veta mer om PFAS? Välkommen till Naturskyddsföreningens 13 mars. Då föreläser jag och svarar gärna på dina frågor. Anmäl dig här (senast 11 mars): https://stockholm.naturskyddsforeningen.se/2019/03/07/forelasning-och-diskussion-om-pfas/